Keller / Bodenplatte Tieferlegen

Diskutiere Keller / Bodenplatte Tieferlegen im Bauüberwachung, Bauleitung Forum im Bereich Rund um den Bau; Hallo liebe Forenmitglieder, Wir haben unsere Bodenplatte tieferlegen lassen. Das Ganze wurde von einem Statiker berechnet und es liegt ein...

  1. #1 tsesmeli, 30.08.2019
    tsesmeli

    tsesmeli

    Dabei seit:
    30.08.2019
    Beiträge:
    10
    Zustimmungen:
    0
    Hallo liebe Forenmitglieder,

    Wir haben unsere Bodenplatte tieferlegen lassen. Das Ganze wurde von einem Statiker berechnet und es liegt ein Standsicherheitsnachweis vor. Alles wurde wie vom Statiker angewiesen durchgeführt. Ich habe jedoch bedenken, da die Abschlüsse nicht sauber aussehen und auch einige Risse in der frischen Platte zu sehen sind.

    Die alte Bodenplatte wurde abgetragen, wobei aufgrund der Statik ein Abstand von 5 cm zur Wand erhalten werden sollte. Der Rest sollte gerade abgetragen werden und danach sollte gegossen werden. Nun ist wie auf den Bildern zu sehen keine saubere Kante und einige Ecken wurden gar nicht richtig ausgearbeitet. Ist das dennoch okay da der Beton flüssig gegossen wird und gegen die Fundamente drückt oder wurde gepfuscht?

    Bilder sind unten angehängt. Würde mich sehr über Kommentare freuen von Leuten, die sowas schon mal selbst gemacht haben.

    Danke.
     

    Anhänge:

  2. #2 Fabian Weber, 30.08.2019
    Fabian Weber

    Fabian Weber

    Dabei seit:
    03.04.2018
    Beiträge:
    16.310
    Zustimmungen:
    6.474
    Die Risse sind harmlos und an der nicht abgestemmten Innenecke soll der Rohbauer nacharbeiten.

    Die Bodenplatte sieht für mich nicht tragend aus, stimmt’s?
     
  3. #3 tsesmeli, 30.08.2019
    tsesmeli

    tsesmeli

    Dabei seit:
    30.08.2019
    Beiträge:
    10
    Zustimmungen:
    0
    Also die alte Bodenplatte wurde rausgenommen und (so wie ich es verstanden habe) sollte die neue Bodenplatte gegen die Fundamente drücken damit die Stabilität wieder zu 100% gewährleistet ist.

    Demnach sollte sie schon tragend sein.
     
  4. SIL

    SIL

    Dabei seit:
    06.05.2018
    Beiträge:
    10.865
    Zustimmungen:
    4.211
    Beruf:
    M. Sc. Dipl. Ingenieur
    Ort:
    6210
    Das sollte in der Statik stehen:wenn ein Verbund bzw eine sichere Übertragung geplant war ist dies so nicht correct, eher wären dann hier MBT oder rebar mechanical splice oder Klebe Systeme nötig gewesen, auf Ihren Bildern ist ja deutlich auch die Trennlage zu erkennen - im Sinne einer nachträglichen BP mit Fundament Anbindung ist das nicht ausgeführt.
    Die Frage ist was 'drückend gegen Alt' dort definiert wurde.
    Senden Sie die Fotos Ihren Statiker/TWP...
     
  5. #5 tsesmeli, 30.08.2019
    tsesmeli

    tsesmeli

    Dabei seit:
    30.08.2019
    Beiträge:
    10
    Zustimmungen:
    0
    Er behauptet, dass alles ordnungsgemäß ist, aber für mich sieht es auch nicht korrekt aus. Was für einen Fachmann kann man hier zu Rate ziehen?

    Ich möchte sichergehen, dass alles in Ordnung ist bevor es weiter. Wäre ein Bausachverständiger oder Bauingenieur der richtige Ansprechpartner? Oder ein Architekt?
     
  6. SIL

    SIL

    Dabei seit:
    06.05.2018
    Beiträge:
    10.865
    Zustimmungen:
    4.211
    Beruf:
    M. Sc. Dipl. Ingenieur
    Ort:
    6210
    Was steht in der Statik? Diese wurde doch erstellt und sie haben diese bezahlt? Damit steht Ihnen ein Exemplar auch zu. Nochmal den Statiker fragen oder bei Vorliegen der Statik einen Architekt, Bau Ing, Meister etc zumindest sollten diese in der Lage sein die Statik zu 'lesen'.
     
  7. #7 tsesmeli, 30.08.2019
    tsesmeli

    tsesmeli

    Dabei seit:
    30.08.2019
    Beiträge:
    10
    Zustimmungen:
    0
    Ich bekomme den Statik Bericht am Montag. Leider liegt er mir nicht vor, da der Statiker das Ganze samt Umsetzung betreut hat. Auf meine Rückfrage hin, hat er mir bestätigt, dass die neue Bodenplatte natürlich tragend ist / sein soll. Dass es verpfuscht umgesetzt ist, gibt er natürlich nicht zu, aber für mich sieht das nicht korrekt aus, weil es einen Spalt gibt. Auf dem Bild unten unsere Perimeter Kante versus ein Beispiel aus dem Internet.
     
  8. SIL

    SIL

    Dabei seit:
    06.05.2018
    Beiträge:
    10.865
    Zustimmungen:
    4.211
    Beruf:
    M. Sc. Dipl. Ingenieur
    Ort:
    6210
    Der Statiker war Planer - Ausführender und Überwachung? Nun dann bis Montag warten, wenn sie ihr Exemplar erhalten haben, dann schauen wir mal... Allerdings stehen aussen den AW noch andere Wände ( also Innenwände?) wenn ja - was ist mit denen?
    Keine rechte Ahnung - im Sinne einer vollen Bodenplatte, wäre dies nicht zu sehen.
    Nachträglich eine BP herstellen ist eine aufwendige und komplexe Angelegenheit.
     
  9. #9 tsesmeli, 30.08.2019
    tsesmeli

    tsesmeli

    Dabei seit:
    30.08.2019
    Beiträge:
    10
    Zustimmungen:
    0
    Hier die beiden Bilder: Bei uns ist das erste mit den roten Pfeilen und dem deutlichen Spalt... Wie ich annehme, dass die Perimeter Kante hätte aussehen sollen auf dem zweiten Foto und ein Beispiel wie insgesamt hätte aussehen sollen vor dem gießen.

    Ich habe auch ein Video, da sieht man es besser, aber kann das leider nicht hochladen. Kann ich ihnen als PM schicken.
     

    Anhänge:

  10. SIL

    SIL

    Dabei seit:
    06.05.2018
    Beiträge:
    10.865
    Zustimmungen:
    4.211
    Beruf:
    M. Sc. Dipl. Ingenieur
    Ort:
    6210
    15.10. 2011  sehr schön das Datum auf dem 3.ten Foto :not_w1::closed:
     
  11. #11 tsesmeli, 30.08.2019
    tsesmeli

    tsesmeli

    Dabei seit:
    30.08.2019
    Beiträge:
    10
    Zustimmungen:
    0
    Ist das eine veraltete Methode oder was meinen Sie? Das ist ja das Beispiel was ich über Google dazu gefunden habe.

    Denke so wollte er das bei uns auch machen. Aber noch schlechter...
     
  12. #12 Fabian Weber, 31.08.2019
    Fabian Weber

    Fabian Weber

    Dabei seit:
    03.04.2018
    Beiträge:
    16.310
    Zustimmungen:
    6.474
    Warum sollte er es nicht zugeben, er ist doch nicht die Firma und hat auch keine Aktien an der Firma. Das wäre ja illegal.
     
  13. #13 tsesmeli, 31.08.2019
    tsesmeli

    tsesmeli

    Dabei seit:
    30.08.2019
    Beiträge:
    10
    Zustimmungen:
    0
    Er hat doch die Statik berechnet und die Leitung für die Umsetzung übernommen. Seine Firma hat diesen Job übernommen.

    Er hat schon einen Interessenkonflikt, wenn es verpfuscht wurde.
     
  14. #14 Fabian Weber, 31.08.2019
    Fabian Weber

    Fabian Weber

    Dabei seit:
    03.04.2018
    Beiträge:
    16.310
    Zustimmungen:
    6.474
    Wie kann denn der Statiker gleichzeitig der Ausführende sein. Wo gibt es denn sowas?
     
  15. #15 tsesmeli, 31.08.2019
    tsesmeli

    tsesmeli

    Dabei seit:
    30.08.2019
    Beiträge:
    10
    Zustimmungen:
    0
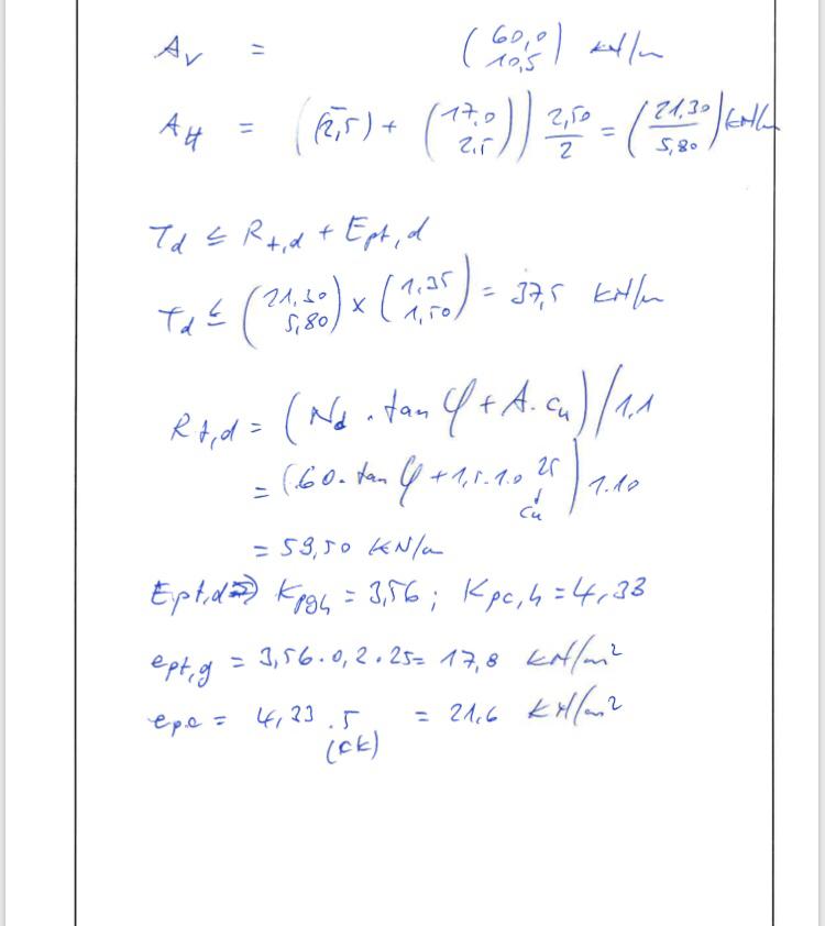
    Ich habe nun die Berechnungen (siehe Anhang) und noch einige Bilder vor dem Gießen. Auf dem ersten Bild mit dem roten Kreis sieht man dass kein Verbund zur Wand / dem Fundament hergestellt wurde. Ich bin kein Profi, daher die Frage ist das in Ordnung?

    Was meint ihr?
     

    Anhänge:

  16. #16 tsesmeli, 31.08.2019
    tsesmeli

    tsesmeli

    Dabei seit:
    30.08.2019
    Beiträge:
    10
    Zustimmungen:
    0
    Und hier die Fotos:
     

    Anhänge:

  17. SIL

    SIL

    Dabei seit:
    06.05.2018
    Beiträge:
    10.865
    Zustimmungen:
    4.211
    Beruf:
    M. Sc. Dipl. Ingenieur
    Ort:
    6210
    Da Fabian nix sagt... :bounce:
    Wie ich bereits oben bemerkte - stellt dies keine Bodenplatte dar -Raumweise den 'Alten Boden' abzutragen und dann dort Beton einzubauen, stellt im besten Fall partielle BP dar, aufgrund der doch relativ hohen Bewehrung sind die einzelnen 'Plattenstücke' belastbar und zwar deutlich, aber aufgrund der fehlenden Anbindung zum Bestand und den 'inneren Wänden und Fundamenten' verabschieden sie sich daher bitte vom Begriff BP vllt sagt @Yilmaz noch was dazu oder @bauspezi45.... :winken
     
  18. #18 Fabian Weber, 31.08.2019
    Fabian Weber

    Fabian Weber

    Dabei seit:
    03.04.2018
    Beiträge:
    16.310
    Zustimmungen:
    6.474
    Hab ich doch gleich gesagt, er hat ja sogar die Folie gezeichnet.

    Da steht allerdings Bitumenbahn, diese vermisse ich doch schon.
     
  19. #19 Fabian Weber, 31.08.2019
    Fabian Weber

    Fabian Weber

    Dabei seit:
    03.04.2018
    Beiträge:
    16.310
    Zustimmungen:
    6.474
    Jedenfalls ist es keine tragende Bodenplatte, die mit den Wänden und Fundamenten verbunden werden muss.

    Es ist einfach ein Kellerboden aus Beton.

    Fehler nacharbeiten und fertig ist.
     
  20. #20 tsesmeli, 31.08.2019
    tsesmeli

    tsesmeli

    Dabei seit:
    30.08.2019
    Beiträge:
    10
    Zustimmungen:
    0
    Wie würde eine Korrektur aussehen?

    Kanten sauber abtragen und dann einen Teil wieder raus? Dann Verbund schaffen und neu aufgießen?

    Oder muss alles raus?
     
Thema: Keller / Bodenplatte Tieferlegen
Besucher kamen mit folgenden Suchen
  1. kellerbodenplatte stein

Die Seite wird geladen...

Keller / Bodenplatte Tieferlegen - Ähnliche Themen

  1. Dampfsperre auf Bodenplatte Haus ohne Keller

    Dampfsperre auf Bodenplatte Haus ohne Keller: Hallo zusammen, kann mir evtl. jemand bei folgendem Thema weiterhelfen: Wir bauen aktuell ein EFH ohne Keller. Das Haus soll eine FBH bekommen...
  2. Bewehrung Keller-Bodenplatte auf Erde

    Bewehrung Keller-Bodenplatte auf Erde: Guten Abend, an unserem Bau eines EFH soll morgen die Bodenplatte für den Keller gegossen werden. Beim kontrollieren der Bewehrung ist mir...
  3. Fliesen heben sich samt Bodenplatte; Keller; Bodenaufbau

    Fliesen heben sich samt Bodenplatte; Keller; Bodenaufbau: Guten Tag, ich bräuchte bitte einen Rat für mein folgendes Problem. Im Keller haben wir einen ca 7m langen und 1,2m breiten Flur. Dieser Boden...
  4. Abdichtung Bodenplatte ohne Keller

    Abdichtung Bodenplatte ohne Keller: Hallo, wir sind derzeit am Bauen eines Einfamilienwohnhauses. Wir haben keinen Keller, jedoch hat uns unser Statiker aufgrund des Bodengutachtens...
  5. Loch im Keller in Bodenplatte

    Loch im Keller in Bodenplatte: Hi Leute, Wir haben ein Haus aus 1965 erworben und saniert. Es ist komplett unterkellert. In einem Kellerraum, der anscheinend erst später...