Zählt eine Zwerchhaus mit zur Traufhöhe?

Diskutiere Zählt eine Zwerchhaus mit zur Traufhöhe? im Architektur Allgemein Forum im Bereich Architektur; Guten Tag, wir planen gerade ein MFH und sind uns nicht sicher, ob die Traufhöhe der "Dachaufbauten" mit zur der im B-Plan festgelegten 6...

  1. #1 Bauherr DH, 15.04.2022
    Bauherr DH

    Bauherr DH

    Dabei seit:
    11.04.2022
    Beiträge:
    3
    Zustimmungen:
    0
    Guten Tag,

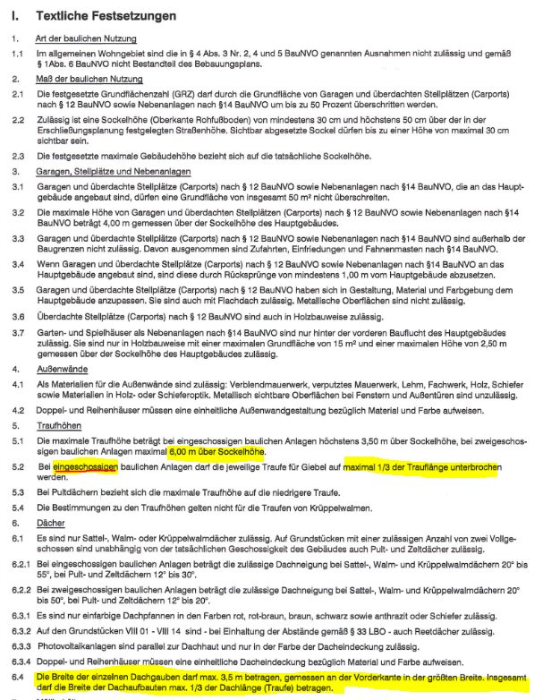
    wir planen gerade ein MFH und sind uns nicht sicher, ob die Traufhöhe der "Dachaufbauten" mit zur der im B-Plan festgelegten 6 Metergrenze (Traufhöhe) gehören oder ob Dachaufbauten generell ausgenommen von der Traufhöhe sind. Die GH ist auf 9 Meter festgelegt. Zu Zwerchhäusern steht im gesamten Bebaungsplan nichts, nur zu Dachgauben. Ich habe den B-Plan mit angefügt. Das Bauprojekt ist in SH. Die LBO regelt hier auch nichts näheres.

    Wir die Traufhöhe nach der Linie 1 oder 2 gemessen?


    Kann mir jemand eventuell Auskunft hierrüber geben?
     

    Anhänge:

  2. #2 Gast 85175, 16.04.2022
    Gast 85175

    Gast 85175 Gast

    Nur weil Du das Ding „Zwerchhaus“ nennst, müssen es andere nicht auch so nennen. Das ist jedenfalls keine Gaube, dazu fehlt es am der unteren Unterbrechung durch das Dach. Das ist einfach nur ein „Giebel“ und damit so wie er gezeichnet ist mE nicht zulässig.

    Wenn Du daraus eine Gaube machen willst, dann muss der Balkon da weg und das Dach muß durch gehen, also musst den Giebel zwangsweise etwas einrücken oder mindestens den Dachvorsprung verlängern (bin mir gerade nicht sicher ob das alleine reicht). Dann hast zwar ne Gaube, aber die dann ist ziemlich sicher deutlich breiter als 3,5m.

    Im Übrigen bin ich in Verbindung mit deinem letzten Thread der Meinung, dass das im CAD geplant werden sollte, da liegen mehrere KO-Kriterien (zB Vollgeschoßigkeit, GFZ, etc.) nah beieinander und alles was man da ändert kann einen wo anders wieder die Tür zu machen….
     
    11ant gefällt das.
  3. #3 simon84, 16.04.2022
    simon84

    simon84
    Moderator

    Dabei seit:
    11.11.2012
    Beiträge:
    23.279
    Zustimmungen:
    6.917
    Beruf:
    Schrauber
    Ort:
    Muenchen
    Die Intention der Satzung ist für mich:

    eingeschossig : Gaube OK auf Max 1/3 Länge (damit man bei eingeschossiger Bauweise mehr Platz im nicht-vollgeschoss DG hat)

    bei zwei vollgeschossen ist überhaupt keine Unterbrechung der trauflinie vorgesehen.

    wieso wollt ihr denn auf teufel komm raus genau das Bauen, was der Bebauungsplan nicht will ?

    was ist eigentlich mit dem Keller passiert ?
    Und wo kommen die 5-10 Stellplätze für die 5WE hin ?
     
    11ant gefällt das.
  4. Dimeto

    Dimeto

    Dabei seit:
    22.07.2017
    Beiträge:
    1.635
    Zustimmungen:
    2.145
    Beruf:
    Vermessungsingenieur
    Ort:
    NRW
    2
     
    11ant gefällt das.
  5. DD A

    DD A

    Dabei seit:
    17.10.2019
    Beiträge:
    683
    Zustimmungen:
    469
    Beruf:
    Dachdecker
    Aus der Nummer kommst Du wahrscheinlich ( wenn es so ähnlich gestaltet werden soll)nur mit einer Spitzhaube raus. Ob einem das dann gefällt ist das anderes , aber der Traufe /Ortgang Punkt könnte ja dann an der Haupttraufe anfangen, und Du bleibst unter dem Hauptfirst. Ich denke Du brauchst einen findigen Architekten, der anhand der Möglichkeiten, durch Dachform/ Gaubenart und dessen optisch " passende" Zusammensetzung etwas gut nutzbares und optisch gefälliges gestalltet.
     
    simon84 gefällt das.
  6. 11ant

    11ant

    Dabei seit:
    28.02.2017
    Beiträge:
    2.501
    Zustimmungen:
    1.578
    Beruf:
    Bauherrenberater
    Ort:
    RLP Nord
    Benutzertitelzusatz:
    bringt Sie gut beraten ins Eigenheim
    Ach guck, nun verstehe ich Yvonnes Bemerkung
    aus Problematik mit der Traufhöhe (Mietwohnung im Dachgeschoss)

    Da widerspreche ich Dir ´mal: ich sehe das mit 5.2 geheilt, daß die Traufe des Zwerchhauses höher liegt, also regelgedeckt hier kein "Abseits".
     
    simon84 gefällt das.
Thema:

Zählt eine Zwerchhaus mit zur Traufhöhe?

Die Seite wird geladen...

Zählt eine Zwerchhaus mit zur Traufhöhe? - Ähnliche Themen

  1. Kellertreppe - Jeder Zentimeter zählt.

    Kellertreppe - Jeder Zentimeter zählt.: Hallo ich fange mal an: Ich habe einen Klimakeller gebaut. Im Sommer kühl, im Winter warm. Gut, das Bauamt guckte auch ganz erstaunt. Waren aber...
  2. Wann zählt ein Wand als Neubau

    Wann zählt ein Wand als Neubau: Hallo, Beispiel Stützwand wird ab gerissen und neu errichtet. Neubau oder Sanierung Stützwand wird dem Bodengrundlage entzogen und gerade...
  3. Zählt offenes Garagengeschoss zur GFZ?

    Zählt offenes Garagengeschoss zur GFZ?: Hallo in die Runde :-) ich bin neu in diesem Forum angemeldet. Bisher hat mir das Forum immer gut weitergeholfen, wenn es um Fragen rund um...
  4. Neubau - Zählt der Keller als Vollgeschoss - Grundstücksoberfläche

    Neubau - Zählt der Keller als Vollgeschoss - Grundstücksoberfläche: Hallo zusammen, aktuell bin ich an der Planung eines Neubaus in RLP. Die Vorgaben des Bebauungsplanes geben max. 2 Vollgeschosse vor mit der...
  5. Zählt das ausgebaute Dach als Geschoss, wenn im Bebauungsplan I+D angegeben ist?

    Zählt das ausgebaute Dach als Geschoss, wenn im Bebauungsplan I+D angegeben ist?: Hallo nach sehr verzweifelter Such hoffe ich, dass mir hier weiter geholfen werden kann. Es geht um ein Haus für das im Bebauungsplan als...